4月12日晚
2026湖北省城市足球超级联赛
将在黄石奥体中心燃情开赛
17路“兵马”集结
一场覆盖全省的足球盛宴即将上演
无论你是资深球迷
还是想感受绿茵激情的亲子家庭
这场荆楚争霸大赛都不容错过
湖北日报特别整理这份超全观赛指南
17支球队亮点、各地美食美景、购票渠道详解
从赛事到文旅,从贴士到玩法
打包所有实用信息


【球队名称】武汉华工科技队
【球队主场】武汉五环体育中心(能容纳近30000名观众)

武汉五环体育中心
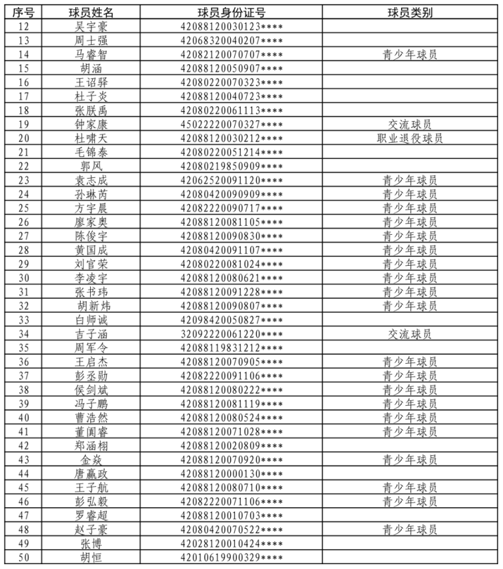
【球队大名单】


武汉华工科技队徽
重点球员:
1.邓卓翔(队长):湖北武汉人,2005年加盟武汉光谷队,2007年攻入中超首球。2009年租借至江苏舜天期间,以5球6助攻的表现荣获中超最佳新人奖。
国家队高光时刻:2010年东亚四强赛对阵韩国队时,连过三人攻破球门,帮助中国队3比0获胜,终结了长达32年的“恐韩症”;同年友谊赛任意球破门,助中国队1比0战胜法国队。
俱乐部生涯效力过江苏舜天、山东鲁能、上海申花等多支球队,2020年加盟武汉三镇并随队实现中乙、中甲、中超“三级跳”夺冠。
2024年回归武汉三镇进入教练组,2025年曾代理主教练。
2.熊飞:湖北武汉人,曾效力于武汉光谷、上海申花两支中超球队,实力派老将,经验丰富,是球队中坚力量的重要成员;司职右后卫。
3.陈方舟:湖北武汉人,另一位坐镇后防或中场的实力派老将,为球队提供稳定性和经验。出生于武汉,中国职业足球运动员,场上司职后卫,曾效力北京控股足球俱乐部(中甲)、丽江飞虎足球俱乐部(中甲)。
4.张啸笑:老将阵容中的关键一员,为球队的攻防体系提供支持。曾效力于武汉卓尔队。2025年担任武汉三镇U16队主教练,并率队夺得中国足协会员协会杯冠军。
5.李文祥:00后年轻小将,代表球队的新生力量,被寄予厚望。
6.王子豪:同样是00后新星,充满活力与冲劲,有望在比赛中崭露头角。
7.杨睿龙:年轻一代球员,是球队“青春新星”的重要组成部分。
此外,球队还补充了高校球员与交流球员,进一步增强了阵容的深度和战术多样性。主教练由湖北本土名宿赵立春担任,他深耕青训多年,对武汉足球脉络非常熟悉。

黄鹤楼公园:武汉的文化地标,登楼可俯瞰长江与武汉长江大桥的壮阔景色。

黄鹤楼公园
东湖风景区:城市绿心,可骑行绿道、船游东湖、登顶磨山。

武汉东湖
湖北省博物馆:免费参观,需提前预约。馆藏有越王勾践剑、曾侯乙编钟等国宝级文物。

湖北省博物馆

热干面:热干面是中国湖北省武汉市的标志性小吃,也是中国五大名面之一,以“色泽黄亮、香气浓郁、口感筋道”著称,被誉为“武汉人的灵魂早餐”。热干面承载了武汉的市井生活记忆,2014年被列入国家级非物质文化遗产。如今,它不仅是本地人的日常,也成了游客体验武汉风味的必打卡美食。

热干面
三鲜豆皮:三鲜豆皮是湖北省武汉市的另一道标志性传统小吃,与热干面齐名,被誉为“武汉早餐双绝”之一。它并非单纯的豆制品,而是以绿豆、大米混合磨浆制成外皮,包裹糯米和多种馅料煎制而成,口感外脆内软、咸鲜油润。

豆皮
面窝:面窝是湖北省武汉市(及周边地区)最具代表性的传统油炸早餐小吃之一,与热干面、三鲜豆皮等并称“武汉过早三大件”。它并非“面”制品,而是以米浆为主料,经特制模具炸成金黄色圆环状,外酥内软、咸香适口。

面窝

票价:9.9元/张(实名制)
4月15日上午10点,武汉队主场门票首轮将统一开售。球票统一定价9.9元/张,武汉市民朋友可通过大麦、票星球、武汉文旅码、汉运动工场等官方指定票务平台便捷购票。


【球队大名单】
黄石队:钢铁之城,燕击长空
主教练:曹国栋
参赛大名单:30人核心阵容+20名备选球员,涵盖本土老将、高校新锐、退役职业球员与业余球员等精英。


重点球员:
彭嘉亮:19岁新星,速度快、拼劲足,是黄石本土青训代表。
叶斯波拉提·托合塔尔汗:强力前锋,热身赛表现亮眼,进攻端核心尖刀,来自高校。
队徽:以蓝色小燕子(黄石城市符号)为主体,搭配盾牌与足球,蓝白为主色调,寓意灵动迅捷、防守稳固、志在突破。

黄石队徽
助威战歌:《黄石荣耀》。

黄石国家矿山公园:“亚洲第一天坑”,工业风打卡,可乘井下小火车。

黄石国家矿山公园
磁湖风景区:城市绿肺,骑行、泛舟、未苏湾等夜景,湖光山色。

磁湖风景区
东方山:千年弘化禅寺+东昌阁沉浸式光影秀。

东方山文昌阁景区

黄石港饼:百年老字号,酥脆香甜,伴手礼首选。

黄石港饼
老四门猪油饼:猪油的醇厚与芝麻的焦香,将城市烟火气融入方寸之间。

老四门猪油饼
西塞鳜鱼:西塞山前白鹭飞,桃花流水鳜鱼肥。

西塞鳜鱼

票价:9.9元/张(实名制)
购票渠道
1.“看个比赛”APP/小程序
2.“云上黄石”APP
3.“东楚体育集团”公众号(1个账号限购4张,凭身份证入场)


【球队名称】十堰武当队
【球队主场】十堰市体育中心(能容纳近20000名观众)

十堰市体育中心
【球队大名单】

重点球员:
吴正雄:高校在校球员,来自贵州榕江,身高1米9的国家一级运动员;曾担任贵州榕江“村超”联赛寨蒿村足球队守门员,2019年入选全国青少年校园足球夏令营总营(初中组)最佳阵容。
2.蔡魏希:职业退役球员,曾是一名五人制足球运动员;2018年效力于台州和合队,参加过五超联赛。
3.青少年球员群体:包括詹金秋、余凡、张智博、景天麟等多名青少年球员;按照楚超联赛规定,每场比赛要求至少3名16—18岁青少年球员同时上场。

十堰武当队徽

武当山风景区:世界文化遗产、道教圣地,中国四大道教名山之首,被誉为“天下第一仙山”。

武当山
丹江口水库:南水北调中线水源地,亚洲最大人工湖,被称为“亚洲天池”。

丹江口水库
十堰市博物馆:中国”卡车之都”的工业记忆、郧县人遗址化石。

十堰市博物馆

郧阳三合汤:红薯粉、卤牛肉片、手工牛肉饺在牛骨汤中组合,浇上牛油熬制的香辣红油,酸辣鲜香。在当地承载“三生万物”的吉祥寓意,是婚嫁、迁宅等时刻必吃的“彩头”。

郧阳三合汤
竹溪蒸盆:采用土鸡、猪蹄、腊肉、蛋饺等十余种山珍食材,经5-6小时分层慢火蒸制,汤清味醇、原汁原味。是宴席上代表最高敬意的压轴菜。

竹溪蒸盆
丹江口翘嘴鲌:产自南水北调中线水源地丹江口水库,肉质细嫩洁白,清蒸最能凸显其鲜甜本味。

丹江口翘嘴鲌

购票渠道
票价:9.9元/张(实名制)
购票渠道
微信搜索“荆楚赛事”官方平台:
十堰市、鄂州市、孝感市、黄冈市、随州市、恩施土家族苗族自治州、仙桃市、天门市、潜江市、神农架林区等十城均可在“荆楚赛事”微信小程序购买门票。



【球队名称】荆州恒隆队
【球队主场】荆州奥林匹克体育中心(能容纳近22000名观众)

荆州奥林匹克体育中心
【球队大名单】

荆州恒隆队徽
重点球员:
1.队长:熊世豪,作为球队的精神领袖,被网友寄予厚望,喊话“请踢出楚王的气势”,需要在场上凝聚全队,展现荆州足球的斗志与风骨。
2.锋线王牌:王翔,球队的进攻核心与“锋线王牌”。他曾是中国五人制国家队成员,并代表湖北参加过全运会,拥有丰富的大赛经验和出色的门前嗅觉。他的加入极大提升了荆州队的攻击火力。
3.后防定海神针:丁荆龙,防守端的“定海神针”。他12岁从荆州青训中心进入省队,曾效力于武汉卓尔俱乐部,并拥有全运会经历。退役后深耕青训,此次重返赛场,将为球队注入沉稳的防守经验和领袖气质。

荆州古城墙:中国南方不可多得的完璧,现存最完整的明清古城墙之一,周长约11公里,设8座城门、34座敌楼。可骑行或漫步其上,俯瞰护城河与长江交汇的壮景。

荆州古城墙
荆州博物馆:国家一级博物馆,湖北省第二大博物馆,馆藏5万余件文物。是了解楚文化和长江中游文明的核心窗口。

荆州市博物馆
楚王车马阵景区(熊家冢):被誉为“北有兵马俑,南有熊家冢”。是已发掘的楚国最高规格王陵,规模宏大,出土了40余座车马坑,展现了楚国“千乘之国”的威仪。

楚王车马阵景区(熊家冢)

荆州鱼糕:荆州地理标志产品,被誉为“吃鱼不见鱼,鱼含肉味,肉有鱼香”。以鲜鱼去刺取肉,混合猪肥膘、蛋清蒸制而成,口感清香滑嫩,是荆州宴席的“头道菜”。

荆州鱼糕
荆沙甲鱼:一道历史可追溯至战国末期的传统名菜。甲鱼裙边软糯,汤汁醇厚,常与冬瓜同炖为“冬瓜鳖裙羹”,是夏季消暑佳品。

荆沙甲鱼
皮条鳝鱼:清朝创制的经典名菜,鳝鱼去骨切长条,挂糊油炸后浇糖醋黄汁,色泽金黄,外酥内嫩,形如竹节,故又名“竹节鳝鱼”。

皮条鳝鱼

票价:9.9元/张(实名制)
购票渠道
荆州队主场购票渠道尚未发布。


【球队大名单】


在3月28日—29日举行的2026年湖北省城市足球联赛热身赛中,宜昌VS鄂州、宜昌VS恩施,两场比赛在宜昌奥体中心外场打响,宜昌队以3:0战胜鄂州队,以2:0战胜恩施队,两战告捷!

宜昌队徽

三峡大坝旅游区:宜昌的绝对地标,世界级水利工程。站在坛子岭俯瞰大坝,那种“高峡出平湖”的震撼感无与伦比,是来宜昌必打卡的“国之重器”。

三峡大坝
三峡人家:这里被誉为“长江三峡最美风景”。你可以看到传统的吊脚楼、乌篷船,还能欣赏土家婚嫁表演和纤夫拉纤,仿佛走进了一幅流动的山水画。

三峡人家
清江画廊:被誉为“东方多瑙河”。乘船游江,两岸山清水秀,岩壁如画,还能听到土家妹子唱山歌,体验感极佳。

清江画廊

萝卜饺子:宜昌独有的油炸小吃。外皮酥脆,内馅是清甜的萝卜丝和辣椒,口感层次丰富,趁热吃最香。

萝卜饺子
凉虾:不是虾!是用大米做的像小虾一样的甜品,滑溜溜的,泡在红糖水或桂花汁里,冰凉清甜,解暑神器。

凉虾
清江肥鱼:宜昌宴席上的“头牌”。鱼肉细嫩,鱼汤奶白浓郁,鲜美无比,被称为“长江第一鲜”。

清江鱼

票价:9.9元/张(实名制)
第一次开票时间4月10日13:00
第二次开票时间4月13日13:00
第三次开票时间4月15日13:00
开售平台:猫眼(app或小程序)


【球队主场】襄阳市体育运动中心(能容纳约26000名观众)

襄阳市体育运动中心
【球队大名单】

重点球员:
楚超襄阳队作为湖北省城市足球联赛的重要力量,拥有多位特色鲜明的球员。
1.杨惠康:退役职业球员,曾效力武汉三镇(中乙时期)等中乙球队,经验极其丰富,防守预判精准,是球队后防的“老大哥”,能稳定军心并指挥防线。
2.赵欣义:职业球员,曾代表湖北队参加第十四届全运会,在男子足球20岁以下组获第四名,防守站位严谨,补位意识极佳,转身速度快,一对一防守能力突出,能有效限制对手边路进攻。
3.秦北辰:校队头号射手,门前终结效率高。
襄阳队整体阵容攻守平衡,既有经验丰富的老将坐镇,又有年轻有活力的新生代球员,战术打法灵活多变,既能打阵地战,也能打反击战。

襄阳市队徽

襄阳古城&临汉门:这座保存完好的明代古城,被汉江环绕。登上城墙,可俯瞰汉江与对岸的樊城,感受“铁打的襄阳”之气势。夜晚灯光亮起时格外壮观。

襄阳古城
古隆中:诸葛亮青年时期隐居地,“三顾茅庐”故事发生地。景区内山水清幽,有草庐、武侯祠等古迹,文化氛围浓厚。

古隆中风景区
唐城影视基地:为拍摄电影《妖猫传》而建,气势恢宏的仿唐建筑群。非常适合穿汉服拍照,日间观建筑,夜间赏灯光演艺,体验感强。

襄阳盛世唐城

襄阳牛肉面:与常见的清汤牛肉面不同,襄阳牛肉面是红油牛油汤底,味道辛辣浓香。标配是一碗面配一碗黄酒或豆浆,本地人常说的“一辣二麻三鲜”是其精髓。

襄阳牛肉面
孔明菜:襄阳特产腌菜,相传由诸葛亮发明。口感脆嫩,微酸咸香,是吃粥、面条的绝配小菜,也可作为特产带走。

孔明菜
宜城大虾:夏季宵夜霸主。类似油焖大虾,但酱料独具特色,麻辣鲜香,常成盆食用,氛围热烈。

宜城大虾

票价:9.9元/张(实名制)
购票渠道
第一次开票时间4月8日18:00
第二次开票时间4月11日12:00
第三次开票时间4月15日12:00
楚超襄阳队唯一购票渠道:大麦网
大麦网购票步骤:
1.打开大麦APP/小程序,首页搜索楚超足球赛襄阳赛
2.选择襄阳队心仪场次,门票开售后挑选舒适座位
3.实名核验订单,支付后立即享观赛资格
4. 凭电子票入场,奔赴主场热血狂欢


【球队大名单】


鄂州临空队徽以“临空腾飞、绿茵逐梦”为核心设计理念。徽章中央,飞机造型托举足球,双翼融入足球纹路——既凸显花湖机场的临空优势,也象征球队如战机般蓄势腾飞、驰骋赛场的强劲实力。

鄂州临空队徽

观音阁:被誉为“万里长江第一阁”,这是一座建在江心礁石(龙蟠矶)上的元代建筑,被誉为“长江最美的钉子户”。虽然通常只能在岸上远观(汛期会淹没),但其屹立江心的震撼感只有亲眼看到才能体会。

观音阁
西山风景区:鄂州的地标名山,曾是孙权的避暑宫所在地。这里不仅有古灵泉寺(净土宗发源地),还能登高远眺长江,感受“吴王故都”的历史沧桑。

西山风景区
梁子岛生态旅游区:四面环湖,是体验“千湖之省”水乡风情的好去处。岛上保留了较多原生态的渔村风貌,适合环岛骑行、看日出日落。

梁子岛生态旅游区

清蒸武昌鱼:鄂州美食的“头牌”,毛主席的诗句“才饮长沙水,又食武昌鱼”让它名扬天下。武昌鱼肉质细嫩,口感鲜美,清蒸、红烧……怎么做都好吃!

红烧武昌鱼
沙窝豆丝:沙窝豆丝的好,吃一碗就知晓。就拿原材料来说,在大米、豆类等普遍用料的基础上,沙窝豆丝还会加入花生、芝麻、荞麦、葛根等各种配料,这也成就了沙窝豆丝独有的风味。

沙窝豆丝
太和千张:当地人习惯称“谢埠千张”,这份以地域命名的独特美味,从汉代起流传至今,谢埠古镇地下水里独特的硒元素,赋予了它无法复刻的美味。不同于菜市场中常见的千张,太和千张薄得几乎透明,就像是一张可捻开的陈年宣纸,入口绵软,却不失嚼劲,带着十足的豆香。

太和千张

“楚超”门票只要9.9元!
十堰市、鄂州市、孝感市、黄冈市、随州市、恩施土家族苗族自治州、仙桃市、天门市、潜江市、神农架林区等十城将会在统一“荆楚赛事”官方平台发售。


【球队大名单】


荆门金龙泉队的队徽以盾牌为基底,象征球队的守护与坚韧,呼应足球赛场的拼搏精神。核心视觉提取金龙泉谐音——金龙形象,既承载荆门“楚龙故里”的地域文化底蕴,也寓意球队如神龙般矫健勇猛、势不可挡。龙身与足球巧妙融合,龙身缠绕足球,龙尾化作火焰,又寓意球队如蛟龙出海般的强劲实力与澎湃激情。

荆门金龙泉队徽
荆门也为自己球队定制了专属队歌《一鸣惊人 自在荆门》。“一鸣惊人”为经典楚文化典故,“自在荆门”既寓意胜利必然属于荆门。

明显陵文化旅游区:作为中南地区唯一的明代帝陵,这里的“一陵两冢”结构举世罕见。红墙黄瓦掩映在山水之间,神道石刻古朴庄严,是探寻明史和皇家建筑的绝佳之地。

明显陵
漳河风景区:被誉为“湖北千岛湖”,水质极佳。可以乘船游览观音岛、阳光沙滩等岛屿,欣赏水天一色的壮阔景色,非常适合周末放松。

漳河风景区
圣境山生态旅游区:是著名的滑翔伞基地,拥有国家航空飞行营地。如果不体验飞行,登山远眺也能看到壮观的风力发电机群和荆门全景,是户外爱好者的天堂。

圣境山生态旅游区

蟠龙菜:作为荆门头牌菜,“吃肉不见肉”是它最大的特点。它由精肥肉、精瘦肉再加以淀粉、鸡蛋、盐、姜等辅助佐料制成,色泽黄白相间,口感肉滑油润,是明代嘉靖年间流传下来的“皇菜”,宴席上必不可少。

蟠龙菜
矮子馅饼:馅饼用烤炉烤制,面皮的口感很像层层叠叠的苏式月饼,疏松又不油腻。皮酥软,不粘牙,入口即化;馅香糯,不很甜,回味无穷。

矮子馅饼
长湖鱼糕:以长湖白鱼为主料,掺合淀粉、蛋清、生姜等佐料,摊成饼形,放进蒸笼,大火蒸制而成。曾于一九九八年获湖北省地方特色风味菜称号,长湖鱼糕入口细嫩、鱼味悠长、柔软、弹性足。至今仍为人们所喜爱并有“无糕不成席”之说。现在,每到过年,鱼糕都是荆门人家家户户必备的菜。

长湖鱼糕

“楚超”门票只要9.9元!
荆门购票渠道(暂未发布)。


【球队名称】黄冈队
【球队主场】黄冈市体育中心(能容纳近20000名观众)
黄冈市体育中心
【球队大名单】


黄冈队徽
重点球员:
1.队长与后防核心:田卓航,司职中后卫(队长),身披5号球衣,作为球队的“定海神针”和精神领袖,他在热身赛中坐镇后防核心,职责不仅是防守,还需通过场上喊话指挥整条防线,弥补年轻球员的经验不足。来自国网黄冈供电公司,是业余球员中的职业典范。
2.胡淦:身披6号球衣,来自黄冈市体育中学,是球队中场的重要枢纽,在4-2-3-1阵型中承担攻防转换的重任。
3.董锦廷:身披25号球衣,来自蕲春银河体育俱乐部,同样是中场组织的关键人物,在热身赛和“州际杯”备战名单中均被列为重点球员。
4.“税务铁卫”:舒鹏,司职后卫,身披36号球衣。他并非职业运动员,本职是黄冈市税务局的干部。在备战专访中,他表达了全队状态拉满、誓要在主场踢出黄冈人精气神的决心,代表了楚超“群众足球”的广泛参与性和为城市荣誉而战的纯粹热情。

东坡赤壁(文赤壁):苏轼“一词二赋”(《念奴娇·赤壁怀古》《前赤壁赋》《后赤壁赋》)诞生地,是真正的“文赤壁”。虽无三国战火,却因苏东坡的千古绝唱而名扬天下。

东坡赤壁(文赤壁)
罗田天堂寨:大别山主峰之一,被誉为“华东最后一片原始森林”。主峰海拔1729米,可“一脚踏两省(鄂皖)”。

罗田天堂寨
遗爱湖公园:以苏轼《遗爱亭记》命名,12个景区皆源于其诗文,是亚洲最大的东坡文化主题公园。

遗爱湖公园

黄冈东坡肉:苏轼谪居黄州时创制并完善的千古名菜。选用上等五花肉,以黄酒、冰糖慢火细煨,成品色泽红亮如琥珀,酥烂而形不碎,肥而不腻,甜咸适口。

黄冈东坡肉
麻城吊锅:大别山地区最具仪式感的冬日盛宴。一口生铁锅吊在火塘之上,底层铺干笋、豆角,中层码炸豆腐、萝卜、腊肉,顶层覆以肉糕、鱼面、蛋饺等,炭火慢炖,香气四溢。

麻城吊锅
罗田板栗鸡:大别山秋日的代表作。选用国家地理标志产品“罗田板栗”,其个小、香甜、粉糯,与本地散养土鸡同烧,板栗吸饱醇厚鸡汤,滋味比肉更胜一筹。

罗田板栗鸡

票价:9.9元/张(实名制)
购票渠道:荆楚赛事小程序
第一次开票时间4月8日20:00
第二次开票时间4月13日20:00
开售平台:荆楚赛事小程序


【球队名称】孝感孝傲江湖队
【球队主场】孝感市体育中心(能容纳近27000名观众)

孝感市体育中心
【球队大名单】

孝感队大名单
注:孝感孝傲江湖队徽尚未官宣

双峰山旅游度假区:海拔888米,被誉为“孝感屋脊”。拥有玻璃天桥、黄巢古道、白云寨古兵营遗址等,是观云海、赏日出、夏季避暑、冬季赏雾凇的绝佳之地。

双峰山
观音湖生态旅游区:湖中99个岛屿星罗棋布,水杉林环湖,景色清幽禅意。可乘画舫游湖,寻访“鳄鱼岛”奇石。

观音湖
楚王城遗址公园:拥有5000年城址遗迹,是战国秦汉时期的重要考古发现,可感受楚风遗韵。

楚王城遗址公园

孝感麻糖:形如梳、白如霜、香甜蜜脆,已有600多年历史,曾是宫廷贡品,制作技艺为省级非遗。

孝感麻糖
孝感米酒:白如玉液,清香袭人,甜润爽口,始于宋代,同为省级非遗和中华老字号。

孝感米酒
云梦鱼面:“吃鱼不见鱼”,以鲜鱼肉茸和面粉制成,面细如丝,可煮可炒,营养丰富。

云梦鱼面

票价:9.9元/张(实名制)
购票渠道
微信搜索“荆楚赛事”官方平台:
十堰市、鄂州市、孝感市、黄冈市、随州市、恩施土家族苗族自治州、仙桃市、天门市、潜江市、神农架林区等十城均可在“荆楚赛事”微信小程序购买门票。


【球队主场】崇阳县文体中心(能容纳约12000人)

崇阳县文体中心
【球队大名单】



咸宁队徽
重点球员:
唐瑞锴、王子铮、黎皓阳、易嘉沛、易嘉鸿
身份背景:这五名球员均来自超级先生足球俱乐部,是武汉体育学院足球专项的在校学生。
赛事经验:他们在2025年的汉超(武汉城市足球超级联赛)、中冠(中国足球协会会员协会冠军联赛)等赛事中已有出色表现。
团队荣誉:其所在的武汉体育学院足球队,在俱乐部的赞助合作下,于2025年成功斩获了汉超联赛高校组总冠军。
作为受过系统训练的高校球员,他们为咸宁队带来了专业的技战术素养和比赛经验,是球队中场组织和进攻端的重要力量。

九宫山风景区:国家级风景名胜区,集壮丽山景、避暑胜地、道教名山于一体。夏季均温约22℃,是绝佳的避暑天堂;冬季则是华中知名的滑雪场。

九宫山风景区
隐水洞地质公园:被誉为“洞天华中·奇绝隐水洞”,拥有亚洲罕见的“洞内三段式游览”(步行+乘船+乘小火车)。洞内恒温约18-20℃,是夏日“续命”宝地。

通山隐水洞
陆水湖风景区:因三国东吴大将陆逊在此驻军而得名,有“千岛湖”之美誉,湖中800多个岛屿星罗棋布。

陆水湖

贺胜桥土鸡汤:选用本地散养土鸡,用瓦罐或铁锅文火慢炖数小时,汤色金黄清亮,鸡肉酥烂脱骨,鲜香醇厚,是秋冬滋补的首选。

贺胜桥土鸡汤
通山包坨:外形似汤圆,外皮由红薯淀粉制成,Q弹爽滑;内馅丰富,常用腊肉、豆腐、香菇、笋丁等炒制,可煮可蒸可炸,寓意团圆美满。

通山包坨
嘉鱼牌洲鱼圆:源自长江边的簰洲湾,选用鲜活鮰鱼或草鱼,手工刮茸,制成的鱼圆雪白如玉,入口即化,汤鲜味美。

嘉鱼牌洲鱼圆

票价:9.9元/张(实名制)
购票渠道
第一次开票时间4月11日
第二次开票时间4月14日(具体时间待定)
开售平台:大麦(app或小程序)


【球队大名单】



仙桃队合影
注:仙桃黄鳝队徽尚未官宣
沔阳小镇:还原了千年沔阳文化的特色小镇。白墙黛瓦的楚派建筑倒映在湖水中,古桥流水,极具诗意。这里也是体验皮影戏、花鼓戏等非遗文化的好去处。夜幕降临,灯光秀点亮小镇别样风景,非常梦幻,是拍照打卡的绝佳地点。

沔阳小镇
梦里水乡文化旅游区:以“乡愁”为主题的超大型生态旅游区。核心亮点是水上森林,可以乘坐乌篷船穿行在高大的池杉林中,感受“绿野仙踪”般的静谧与美好。

梦里水乡文化旅游区
沙湖国家湿地公园:这里是典型的内陆淡水湖泊湿地,生态环境极佳。春天芦苇抽新,夏天荷花盛开,是观鸟和亲近自然的天然氧吧。

沙湖国家湿地公园

沔阳三蒸:湖北十大经典名菜之一,仙桃美食的“金字招牌”,也是雷军特别推荐的家乡年夜饭。“三蒸”指蒸肉、蒸鱼、蒸菜。用米粉裹住食材蒸制,最大程度保留了食材的鲜嫩,口感软糯,油而不腻。

沔阳三蒸
鳝鱼米粉:作为仙桃人的早餐首选,被誉为“中国黄鳝之都”的味觉名片。在仙桃,黄鳝做法有将近百种,这道早餐将鲜美的鳝鱼汤与爽滑的米粉结合,汤头浓郁,胡椒味恰到好处,一碗下肚浑身舒畅。

鳝鱼米粉
仙桃米团子:是仙桃的传统特色小吃,寓意团圆。用糯米或大米制成外皮,包裹着腊肉、香干、豆沙等多种馅料,蒸熟后油润咸香,软糯有嚼劲。

仙桃米团子

“楚超”门票只要9.9元!
十堰市、鄂州市、孝感市、黄冈市、随州市、恩施土家族苗族自治州、仙桃市、天门市、潜江市、神农架林区等十城将会在统一“荆楚赛事”官方平台发售。


【球队大名单】


潜江龙虾足球队主教练姚远帆表示,自年初选拔以来,球队共集结48名球员,既有经验丰富的退役运动员,也有朝气蓬勃的年轻学生球员。“新老搭配既能保障赛场稳定性,也能为年轻球员提供更多成长空间。”他坦言,“楚超”不仅是竞技舞台,更是展现球队精神风貌的窗口,大家不设虚高目标,只求队员们拼尽全力,发挥训练水平,赛出风格、赛出斗志,向球队和球迷交出满意答卷。

潜江龙虾队队徽

返湾湖国家湿地公园:享有“云梦缩影、候鸟天堂”的美誉。这里生态环境极佳,拥有“水上森林”,可以乘船穿梭其中,体验“人在画中游”的诗意。

返湾湖国家湿地公园
龙湾国家考古遗址公园:集考古研学、游览观光、文化体验于一体的楚文化旅游景区。2000年,龙湾遗址被评为“全国十大考古新发现”,章华台是东周时期楚灵王修建的离宫,被誉为“天下第一台”。

龙湾国家考古遗址公园
广华水杉园:集休闲游憩、研学教育、生态旅游于一体的水杉主题公园。建造于1957年,是国内集中造林最早、面积最大的人工水杉公园。

广华水杉园

油焖大虾:全国每10只小龙虾中,有5只产自湖北,而其中3只便是通过潜江的渠道和网点走向全国各地。潜江拥有3000多家龙虾餐饮直营和加盟店,创新推出100余种龙虾菜品,其中,“油焖大虾”“蒜蓉大虾”入选中国名菜。

来自五湖四海的龙虾美食爱好者齐聚潜江品尝小龙虾。
二回头:一道很有故事的传统名菜。这道菜味道极佳,吃完后让人忍不住回头再吃,因此得名。口感丰富,是地道的潜江风味。

二回头
黄湾藕汤:产自王场镇黄湾村的藕,生吃如鸭梨,煨汤易粉。用它炖出来的排骨藕汤,汤汁浓郁醇厚,是潜江人家家户户餐桌上的常客。

黄湾藕汤

“楚超”门票只要9.9元!
十堰市、鄂州市、孝感市、黄冈市、随州市、恩施土家族苗族自治州、仙桃市、天门市、潜江市、神农架林区等十城将会在统一“荆楚赛事”官方平台发售。


【球队大名单】


神农架队徽,中心呈现现代足球的多边形纹理,托起一个飘逸而充满力量的白色“神”字剪影——它既是神农架的“神”,也象征着球队的神采与神速。背景中若隐若现的苍翠松林和金丝猴,源自这片世界遗产地的自然灵魂。

神农架队徽

神农顶:这里是湖北的最高峰,也是来神农架必打卡的核心。不仅能俯瞰壮丽的云海和高山草甸,还有机会在金猴岭邂逅野生金丝猴。

神农顶云海
大九湖:被称为“湖北的小瑞士”,拥有九个高山湖泊。清晨的晨雾缭绕在湖面和木屋之上,宛如仙境,是摄影爱好者的天堂。

大九湖
官门山:这里集地质、生物、人文于一体,像一本打开的百科全书。可以看到大熊猫、大鲵(娃娃鱼),还能参观野人雕塑和生态展览,非常适合亲子游。

官门山

渣广椒:这道土家族的传统美食,多在农历白露后制作,需经过一个多月的密封腌制,成为了上佳的开胃菜肴。腌制完成的渣广椒,无论是焖、蒸还是炒,都能呈现出独特的酸辣味。

渣广椒
懒豆腐:传说是一懒婆娘打豆腐,只把黄豆磨碎,不过滤豆渣,直接拌入切碎的青菜,然后煮着吃。做熟一尝,味道鲜美,后来这一做法便流传至今,既可当菜又可当主食。

懒豆腐
神农架腊肉:在神农架,腊肉的吃法多样,每一种都能让人回味无穷。腊猪尾炒黄豆,肉质酥软,黄豆香脆,两者结合,口感层次丰富;腊肉炒鸡蛋,简单却美味,腊肉的咸香与鸡蛋的鲜嫩完美融合;豆豉炒腊肉,豆豉的醇厚与腊肉的烟熏味相互渗透,每一口都是对味觉的极致挑逗。

神农架腊肉

“楚超”门票只要9.9元!
十堰市、鄂州市、孝感市、黄冈市、随州市、恩施土家族苗族自治州、仙桃市、天门市、潜江市、神农架林区等十城将会在统一“荆楚赛事”官方平台发售。


【球队大名单】


恩施小土豆队徽主体为身着西兰卡普织锦传统服饰的拟人化小土豆形象,衣身纹样精巧细腻、民族韵味浓郁;小土豆根植恩施高山沃土、天然富硒赋能,自带朴实坚韧的地域特质;人物身姿雄赳赳、气昂昂,动感奔跑头球争顶,定格绿茵场上奋勇向前的活力瞬间,直观传递“恩施足球,奋勇拼搏”的昂扬信念。

恩施小土豆队徽

恩施大峡谷:被誉为“与美国科罗拉多大峡谷难分伯仲”。这里有标志性的“一炷香”奇石、绝壁栈道和云龙地缝,是感受大自然鬼斧神工的首选之地。

恩施大峡谷
屏山峡谷:被称为“中国的仙本那”。乘坐小船漂浮在碧绿的河面上,会产生“船在水上走,人在画中游”的悬浮视觉效果,非常出片。

屏山景区
腾龙洞:中国最大的溶洞,洞内甚至可以容纳直升机起降。洞内有震撼的激光秀和土家歌舞表演《夷水丽川》,视听体验极佳。

腾龙洞新春灯会

鲜笋炒腊肉:吸饱春雨的嫩笋,脆甜多汁,遇上醇厚腊肉,口感更加鲜美。一口下去,是春天最热烈的开场白。

鲜笋炒腊肉
张关合渣:“辣椒当盐,合渣过年”只此一句就表达了恩施人对合渣的深厚感情,张关合渣通过独特的加工工艺,食之鲜嫩,爽滑,麻辣而不燥,醇香而不腻,口味悠长。

张关合渣
社饭:土家人祭祀社神的重头戏。青蒿、野葱、腊肉丁与糯米同蒸,油润咸香,每一粒米都渗透着山野草木香。

社饭

“楚超”门票只要9.9元!
第一次开票时间4月8日20:00
第二次开票时间4月13日20:00
开售平台:荆楚赛事小程序


【球队大名单】


天门队徽以天门石家河文化玉凤为魂,将千年文脉与足球精神熔于一炉,是属于天门足球的文化图腾。

天门队徽

茶圣故里园:核心是高耸的茶经楼,内有陆羽纪念馆。园内西湖风光与历史古迹交融,是天门的文化地标,适合登高望远和了解茶文化。

茶圣故里园
张家湖国家湿地公园:天门市最大的湖泊,也是保持原始生态最好的湖泊之一。这里水天一色,是观鸟和欣赏自然湿地风光的好去处。

张家湖国家湿地公园
胡家花园:湖北省保存最为完整、规模最大的晚清官邸之一。园内建筑风格独特,布局精巧,有“三进四合院落”的典型特征,被称为“晚清第一私宅”。

胡家花园

黄潭米粉:天门早餐的“头牌”,入选了湖北省非遗名录。纯手工制作,汤底浓稠鲜美(糊汤),配上鳝鱼臊子和细滑的米粉,口感层次丰富。

黄潭米粉
天门三蒸(九蒸):天门是中国蒸菜之乡,“三蒸”指蒸肉、蒸鱼、蒸菜,实际上技法多达“九蒸”。代表菜有粉蒸茼蒿、炮蒸鳝鱼,口感软糯,保留食材原味。

天门三蒸(九蒸)
干驿炮蒸鳝鱼:天门蒸菜中的招牌硬菜。鳝鱼段用特制米粉腌制后上锅蒸,出锅后淋上滚油,发出“炮”响,故名“炮蒸”,酸辣开胃。

干驿炮蒸鳝鱼

“楚超”门票只要9.9元!
第一次开票时间4月8日20:00
第二次开票时间4月13日20:00
开售平台:荆楚赛事小程序


【球队名称】随州队
【球队主场】随州市滨湖体育场(能容纳近20000名观众)
随州市滨湖体育场
【球队大名单】

注:随州队徽尚未官宣

曾侯乙墓遗址:曾侯乙编钟的出土地,可深入15米深的墓坑,感受战国时期的葬制与考古奇迹。现场有复原棺椁和多媒体展示发掘过程。

曾侯乙编钟(曾侯乙墓遗址出土)
千年银杏谷:位于洛阳镇,是世界四大密集成片古银杏群落之一,拥有百年以上古树1.7万株,其中“银杏至尊”树龄达2800年。深秋时节(11月最佳),万亩金黄,宛如童话世界,也是电影《刺客聂隐娘》的取景地。

千年银杏谷
炎帝神农故里风景区:全球华人寻根祭祖的圣地,相传为华夏始祖炎帝神农的诞生地。景区内有炎帝大殿、神农洞、圣火台、谒祖广场等建筑,庄严肃穆。每年农历四月廿六(炎帝诞辰)会举办盛大的“世界华人炎帝故里寻根节”。

炎帝神农故里风景区

曾侯乙蒸牛肉:被誉为“随州排面”,相传源自战国时期曾国御厨的拿手大作。牛肉蒸制后,酸、甜、麻、辣在舌尖跳跃,宛如一场穿越千年的味觉合奏。这道菜是2025年评选出的“十大名菜”之首。

曾侯乙蒸牛肉
三鲜暖锅:入选“十大名菜”。肉圆、蛋饺、三鲜等食材吸吮慢慢炖的鲜汤汁,一口下去,瞬间勾起儿时逢年过节的温暖记忆,是极具家常烟火气的暖心菜肴。

三鲜暖锅
菜包菜:同样入选“十大名菜”。以随州特有的“泡泡青”为外衣,包裹地菜、香菇等馅料,完美锁住汁水,将随州的田野鲜香与烟火气都包进了菜里。

菜包菜

票价:9.9元/张(实名制)
购票渠道
微信搜索“荆楚赛事”官方平台:
十堰市、鄂州市、孝感市、黄冈市、随州市、恩施土家族苗族自治州、仙桃市、天门市、潜江市、神农架林区等十城均可在“荆楚赛事”微信小程序购买门票。
请输入验证码