亲爱的荆州游子、远方的客人:
古城墙上红灯高挂,张居正街腊味飘香——荆州最浓的年味,藏在街头巷尾的烟火气里。
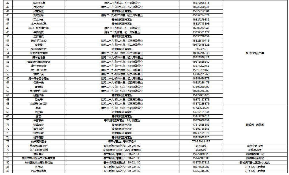
今年春节,无论你是跨越山海归来的荆州儿女,还是慕名而来的游客,荆州区中心城区165家餐饮门店已经备好热腾腾的饭菜,等你回家。
🌙 深夜灯火,温暖归人


凌晨抵达也不怕——海底捞、麦当劳24小时守候,九九荆州大排档营业至凌晨2点。一碗热汤、一顿夜宵,抚慰风尘仆仆的你。
🥢 地道荆州味,最抚游子心


外婆老家、古城小镇、老屋饭香、糖葫芦……这些本地人常聚的老牌餐厅,春节期间正常迎客。一口鱼糕、一筷子甲鱼,全是记忆里的家乡味道。
🛍️ 商圈荟萃,美食随心


万达广场、聚珍园花台市集汇聚众多品牌餐饮,从快餐小吃到精致正餐,丰俭由人。KFC、麦当劳、兰湘子、海底捞、临榆炸鸡……总有一家合你口味。
🏘️ 古城街巷,烟火人家


三义街的楚荟楼、张居正街的老荆州·古巷里、荆中路的荃凤雅宴……漫步古城,随处可遇藏着故事的街边小店,用最朴素的烟火气,温暖你的春节。

🎭 特别推荐
三义街新晋打卡地「三国宴」

最近刷屏荆州人朋友圈的「三国宴」,你一定要知道!
这是2月14日刚在三义街开业的沉浸式餐秀,也是荆州首个“能吃能看”的三国文化体验餐厅。走进这里,仿佛穿越回三国时期——古乐悠扬、布景古朴,身着三国服饰的工作人员揖礼待客,将士执戟而立,乐伎轻拨琵琶。
你不是来看戏的,你是戏里的人。
换上古装,与NPC对一句暗号,接一盅温酒,在觥筹交错间“煮酒论英雄”。菜品以荆州传统风味为基底,洪湖藕汤、荆州蒸菜每一道都承载着三国典故。
「三国宴」春节档信息
📍 地址:荆州古城三义街173号
📅 时间:2月13日—2月22日
午场11:30-13:00
晚场17:30-19:30
💰 票价:199元/人
📞 预订热线:13476983113
这个春节,带上家人朋友,赴一场英雄之约,在烟火与古韵中品读三国历史。
温馨提示: 春节期间营业时间可能临时调整,建议出发前致电确认;热门餐厅包间请提前预订。





最暖的路,是回家的路
最好的年,是有你的年
欢迎回家,新年快乐!

NEW YEAR -
附件:2026年荆州区中心城区春节期间餐饮企业营业信息一览表





请输入验证码