本周雨水频繁打卡
昨天除襄阳、十堰、随州外
省内其他地区都有雨水现身
今天白天省内大部
仍然阴云密布
降水自西南向东北发展

截至下午三点
大部分地区都有小雨出现

气温较昨天有所下降
15时全省气温在12~17℃
随州气温13.2℃
较昨天同一时次下降了5.2℃

降雨趋势
我省仍以阴雨天气为主
大部地区有小雨
南部部分地区还会有中雨
鄂西北高山地区
会有雨夹雪或雪出现
阳光难觅
16日降水基本结束
转为多云间晴的天气
大风降温
明后天气温继续震荡下滑
16日气温触底
高温降至9~13℃
17日早上
北部最低气温降至冰点以下
南部仅0~3℃
此外未来三天
省内北风加大
阵风可达5到8级
天气提示
1、未来三天我省冷空气影响,气温在波动中下跌,公众请关注最新气温变化,注意保暖谨防感冒。
2、近期雨水增多,道路湿滑,驾车请注意减速慢行。
3、大风天气尽量减少外出,在户外注意远离广告牌和临时搭建物,谨防高空坠物。
天气预报
3月13日20时-14日08时,鄂西北西部、鄂西南、江汉平原南部、鄂东南南部阴天有小雨,局地有雨雾和弱雷电;其他地区阴天,局地有短时小雨。最低气温8~12℃,偏北风2到3级、阵风4到5级。


3月15日08时-16日08时,全省阴天间多云。白天大部地区有短时小雨,鄂西北高山地区有雨夹雪或雪。最高气温9~14℃,最低气温西部1~4℃、中东部4~7℃,偏北风3到4级、阵风5到8级。


预报来源:湖北省气象台2025年3月13日16时预报


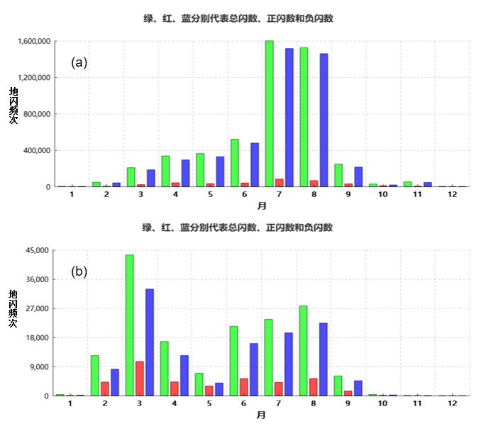
湖北省2024年雷电活动特征
湖北省 2007~2024 年的地闪回击频次总体呈减少趋势,全省2024年雷电活动呈现如下特征:
1、全省闪电定位系统共记录地闪回击 159152 次,其中负地闪回击 120553 次,占 75.8%,地闪回击频次少于去年同期。

2、雷电活动月分布与往年不同,春季雷电活动频繁,占全年的42.2%;3 月份共记录地闪回击 43473 次,为全年发生雷电最多的月份。
3、全省午后和夜晚雷电活动频繁,凌晨1时雷电活动最多,凌晨4 时到中午12时雷电活动相对较少。
4、全省雷电活动较过去几年有所减少,地闪回击密度高值区主要位于鄂东南武汉、孝感、黄冈、咸宁南部和鄂西南恩施州南部来凤县和恩施市北部地区。
5、全省区域性强雷电天气过程有6次,集中出现在 2~7 月,10~1月雷电较少。

请输入验证码