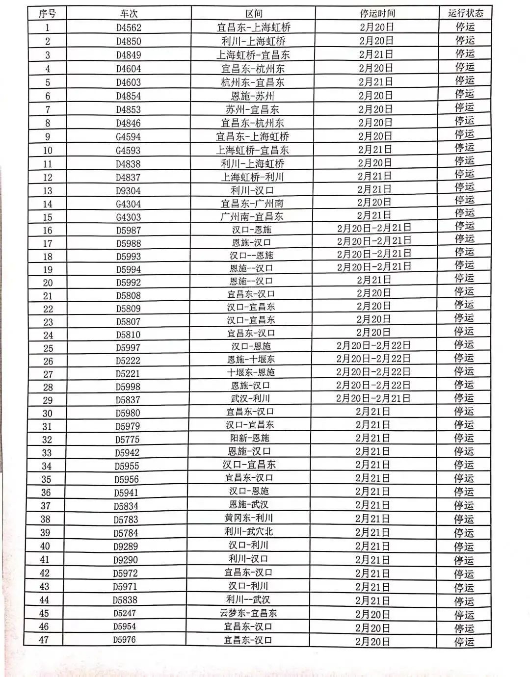
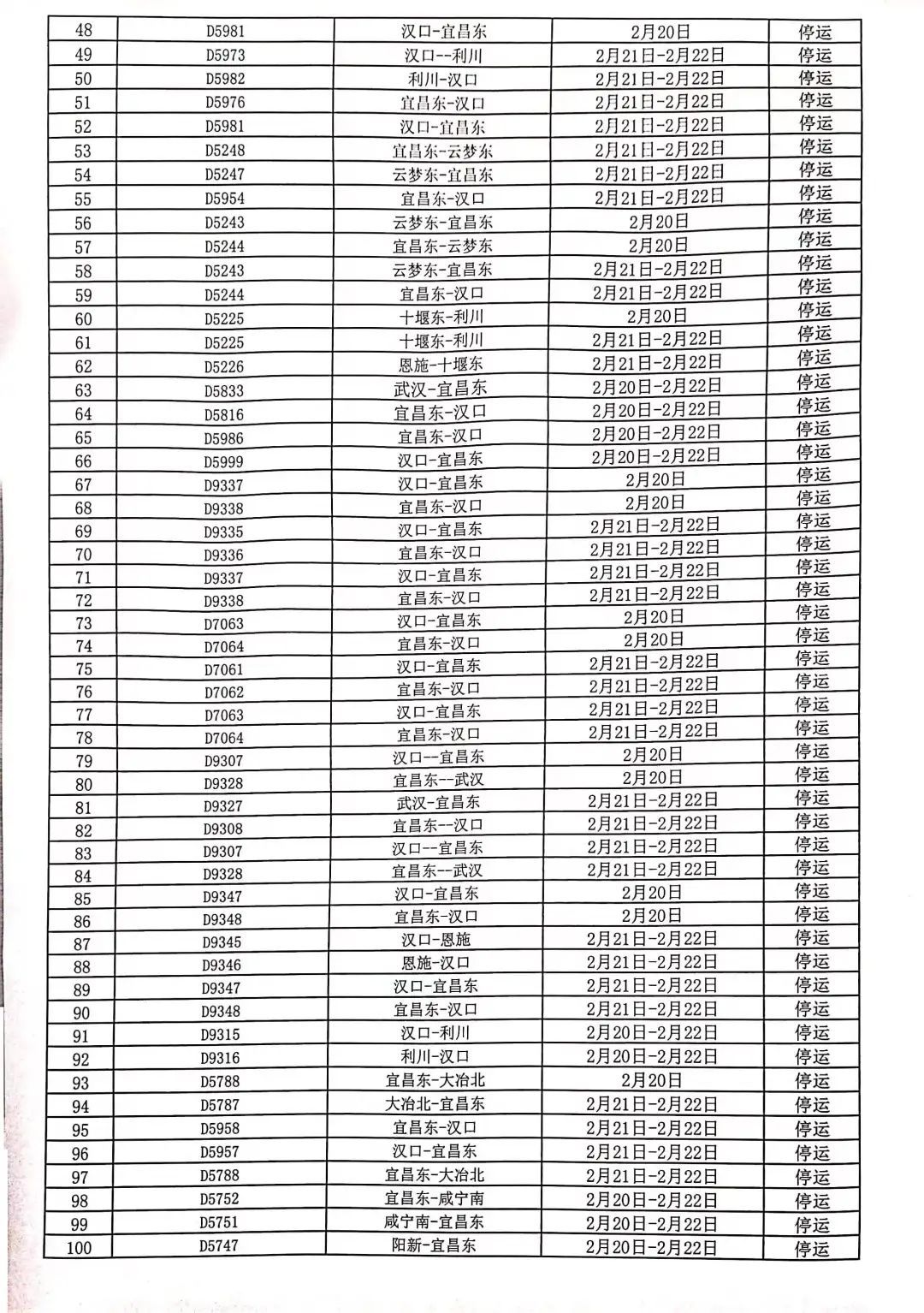
据@武汉铁路 最新消息,根据中央气象台发布的寒潮橙色预警,2月18日至24日,我国大部地区将出现大范围雨雪冰冻天气。为确保旅客出行安全,中国铁路武汉局集团有限公司2月20日计划停运部分列车。
铁路部门将根据天气变化动态调整旅客列车运行方案,以上车次可能继续发生变化。具体情况请旅客随时通过中国铁路12306网站或App、各火车站官方微博等渠道关注动态信息,妥善安排出行。

同时,从宜昌东站获悉为应对低温冻雨极端天气2月20日-2月23日计划开行的137列车临时停运购买停运列车车票旅客可在接到通知之时起至票面乘车日期后30日以内(含当日)在12306网站、手机12306APP、车站人工窗口、具有退票功能的自助机办理退票,不收退票费



另外,@湖北高速交警 刚刚发布实时路况信息:
因事故,临时关闭入口的有:G70福银高速六里坪至十堰东段。
因车流量偏大,临时关闭入口的有:G45大广高速铁门至新洲段。
因车流量大,车辆通行缓慢的有:G42沪蓉高速往武汉方向汉川至东西湖段;G4221沪武高速往安徽方向大别山至杨柳段;G50沪渝高速往上海方向武穴至花桥段。
因施工,临时关闭入口的有:S13武监高速大沙湖站。
因施工,
①禁止车辆通行的有:G4201武汉绕城高速花山站出口(豹柏向)。
②全天禁止危化品车辆通行的有:G4京港澳高速双向河南界至军山段、大新至军山段入口;G4201武汉绕城高速邹黄互通至藏龙岛互通段;G50沪渝高速武汉西至永安段入口、凤凰山站入口;G4201武汉绕城高速花山站入口。
请输入验证码