近日,北京大学北京国际数学研究中心推出的一道数学题,获得了数学爱好者的广泛关注。
出题的是北京大学数学科学学院研究员,第49届、第50届国际数学奥林匹克竞赛满分金牌得主韦东奕。
一起来看看“韦神”出的这道题吧!
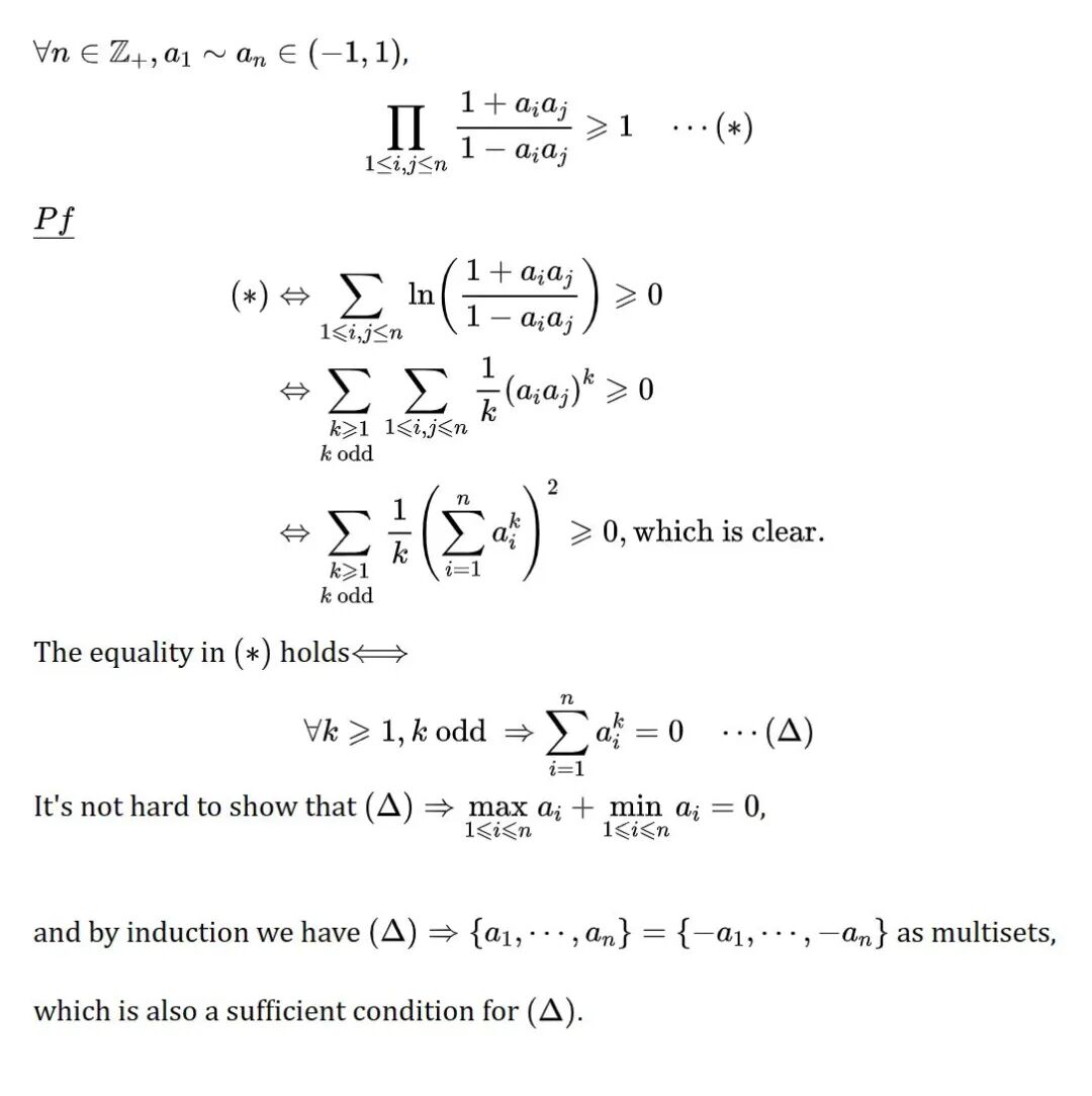
题目

截至目前,已有近百位读者提交了解答。出题人韦东奕从中挑选了三份作为“较好的解答举例”。据韦东奕介绍,本题的解答线索只有一个,因此他挑选出来的三份解答相似度高,均可以作为标准答案来使用。
特别是其中有一位初中二年级的同学,给出了简洁、完备的答案,令人欣喜。
较好的解答案例
解答1 答题人来自国内某大学


解答2 答题人来自国内某中学

解答3 答题人来自海外某大学

网友评论




请输入验证码